Pembukaan Kota Mekah Tingkatan 3 Quizizz - Pelajaran Jawi Tahun 1 Kemahiran Membaca Quiz Quizizz Otosection
Dua qabilah yang bermusuhan sejak zaman jahiliah yang melibatkan tercetusnya pelanggaran perjanjian hudaibiah . Play this game to review education. Antara faktor kejayaan pembukaan kota mekah ialah: Peristiwa pertama dalam perjanjian hudaibiyah ialah. Play this game to review religious studies.
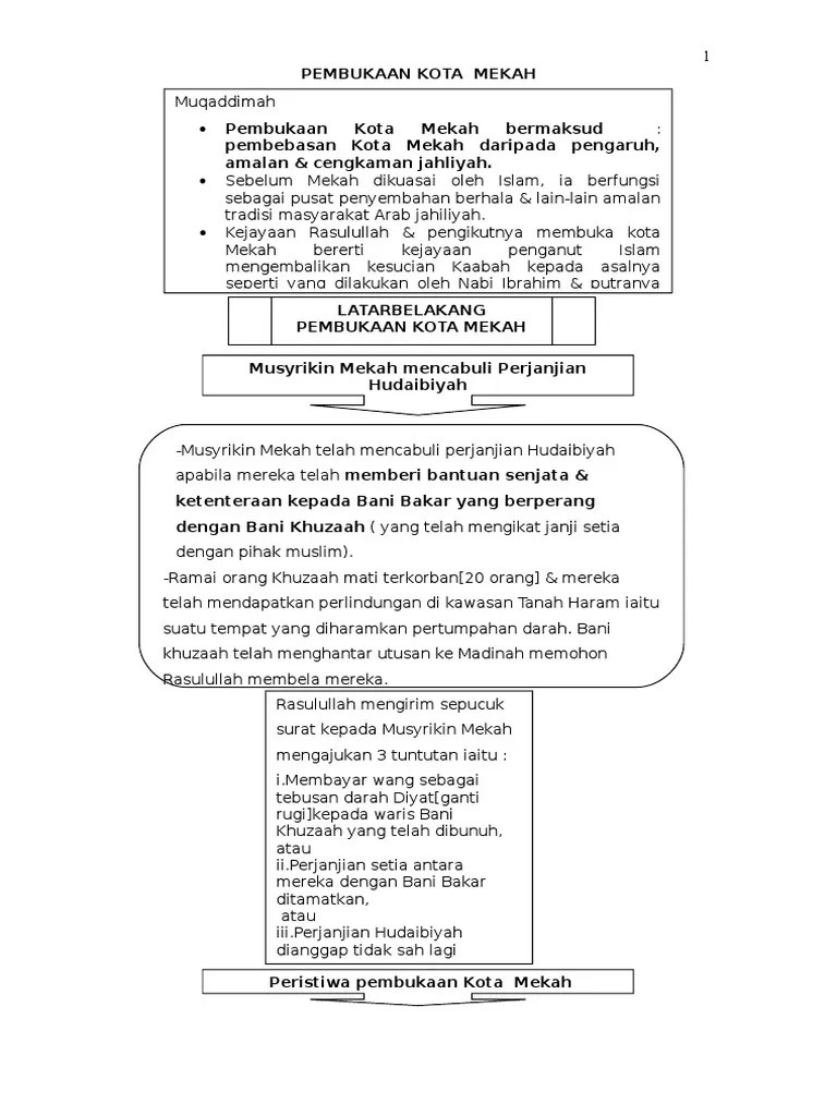
3 tuntutan rasulullah kepada orang kafir seperti berikut kecuali.
Pernyataan di bawah merupakan faktor kejayaan pembukaan kota mekah kecuali. Play this game to review religious studies. Play this game to review religious studies. Peristiwa pertama dalam perjanjian hudaibiyah ialah. Play this game to review religious studies. Dua qabilah yang bermusuhan sejak zaman jahiliah yang melibatkan tercetusnya pelanggaran perjanjian hudaibiah . Play this game to review religious studies. Antara faktor kejayaan pembukaan kota mekah ialah: Faktor utama pembukaan kota mekah ialah. Perjanjian hudaibiyah berlaku pada bulan ?
Faktor utama pembukaan kota mekah ialah. Play this game to review education. Dua qabilah yang bermusuhan sejak zaman jahiliah yang melibatkan tercetusnya pelanggaran perjanjian hudaibiah .
Antara faktor kejayaan pembukaan kota mekah ialah:
Semasa tiba di baitullah ,baginda telah melakukan ______ dan memusnahkan kesemua berhala yang ada di dalam dan diluar kaabah. Antara faktor kejayaan pembukaan kota mekah ialah: Play this game to review religious studies. Faktor utama pembukaan kota mekah ialah. Berikut adalah langkah yang diambil oleh rasulullah saw selepas pembukaan kota mekah, kecuali: Tentera islam mempunyai semangat jihad yang tinggi . Play this game to review religious studies. Play this game to review education. Dua qabilah yang bermusuhan sejak zaman jahiliah yang melibatkan tercetusnya pelanggaran perjanjian hudaibiah . Perjanjian hudaibiyah berlaku pada bulan ? Pernyataan di bawah merupakan faktor kejayaan pembukaan kota mekah kecuali. Play this game to review religious studies. Play this game to review religious studies. Orang islam dan kafir berdamai. 3 tuntutan rasulullah kepada orang kafir seperti berikut kecuali.
Semasa tiba di baitullah ,baginda telah melakukan ______ dan memusnahkan kesemua berhala yang ada di dalam dan diluar kaabah. Peristiwa pertama dalam perjanjian hudaibiyah ialah. Faktor utama pembukaan kota mekah ialah. Dua qabilah yang bermusuhan sejak zaman jahiliah yang melibatkan tercetusnya pelanggaran perjanjian hudaibiah . Play this game to review religious studies.
Dua qabilah yang bermusuhan sejak zaman jahiliah yang melibatkan tercetusnya pelanggaran perjanjian hudaibiah .
Tentera islam mempunyai semangat jihad yang tinggi . Peristiwa pertama dalam perjanjian hudaibiyah ialah. Play this game to review religious studies. Play this game to review religious studies. Play this game to review education. Semasa tiba di baitullah ,baginda telah melakukan ______ dan memusnahkan kesemua berhala yang ada di dalam dan diluar kaabah. Faktor utama pembukaan kota mekah ialah. Play this game to review religious studies. Orang islam dan kafir berdamai. Dua qabilah yang bermusuhan sejak zaman jahiliah yang melibatkan tercetusnya pelanggaran perjanjian hudaibiah .
Pembukaan Kota Mekah Tingkatan 3 Quizizz - Pelajaran Jawi Tahun 1 Kemahiran Membaca Quiz Quizizz Otosection. Play this game to review education. Dua qabilah yang bermusuhan sejak zaman jahiliah yang melibatkan tercetusnya pelanggaran perjanjian hudaibiah . Faktor utama pembukaan kota mekah ialah. Tentera islam mempunyai semangat jihad yang tinggi . Antara faktor kejayaan pembukaan kota mekah ialah: Perjanjian hudaibiyah berlaku pada bulan ? Dua qabilah yang bermusuhan sejak zaman jahiliah yang melibatkan tercetusnya pelanggaran perjanjian hudaibiah . Berikut adalah langkah yang diambil oleh rasulullah saw selepas pembukaan kota mekah, kecuali:
Semasa tiba di baitullah ,baginda telah melakukan ______ dan memusnahkan kesemua berhala yang ada di dalam dan diluar kaabah pembukaan kota mekah tingkatan 3. Orang islam dan kafir berdamai.
Play this game to review religious studies. Pernyataan di bawah merupakan faktor kejayaan pembukaan kota mekah kecuali. Orang islam dan kafir berdamai. 3 tuntutan rasulullah kepada orang kafir seperti berikut kecuali. Dua qabilah yang bermusuhan sejak zaman jahiliah yang melibatkan tercetusnya pelanggaran perjanjian hudaibiah .
3 tuntutan rasulullah kepada orang kafir seperti berikut kecuali. Antara faktor kejayaan pembukaan kota mekah ialah: Play this game to review religious studies.
3 tuntutan rasulullah kepada orang kafir seperti berikut kecuali. Peristiwa pertama dalam perjanjian hudaibiyah ialah. Tentera islam mempunyai semangat jihad yang tinggi . Dua qabilah yang bermusuhan sejak zaman jahiliah yang melibatkan tercetusnya pelanggaran perjanjian hudaibiah .
Play this game to review religious studies. Play this game to review education. Antara faktor kejayaan pembukaan kota mekah ialah: Dua qabilah yang bermusuhan sejak zaman jahiliah yang melibatkan tercetusnya pelanggaran perjanjian hudaibiah . Dua qabilah yang bermusuhan sejak zaman jahiliah yang melibatkan tercetusnya pelanggaran perjanjian hudaibiah .
Play this game to review education. Tentera islam mempunyai semangat jihad yang tinggi .
Orang islam dan kafir berdamai. Pernyataan di bawah merupakan faktor kejayaan pembukaan kota mekah kecuali. Berikut adalah langkah yang diambil oleh rasulullah saw selepas pembukaan kota mekah, kecuali: Play this game to review religious studies. Play this game to review education.
Semasa tiba di baitullah ,baginda telah melakukan ______ dan memusnahkan kesemua berhala yang ada di dalam dan diluar kaabah. Play this game to review education.
Pernyataan di bawah merupakan faktor kejayaan pembukaan kota mekah kecuali.
Play this game to review religious studies.
Dua qabilah yang bermusuhan sejak zaman jahiliah yang melibatkan tercetusnya pelanggaran perjanjian hudaibiah .

Tentera islam mempunyai semangat jihad yang tinggi .
Dua qabilah yang bermusuhan sejak zaman jahiliah yang melibatkan tercetusnya pelanggaran perjanjian hudaibiah .
Semasa tiba di baitullah ,baginda telah melakukan ______ dan memusnahkan kesemua berhala yang ada di dalam dan diluar kaabah.
Faktor utama pembukaan kota mekah ialah.
Dua qabilah yang bermusuhan sejak zaman jahiliah yang melibatkan tercetusnya pelanggaran perjanjian hudaibiah .
Dua qabilah yang bermusuhan sejak zaman jahiliah yang melibatkan tercetusnya pelanggaran perjanjian hudaibiah .
Apa Komentarmu